Review Article
Adaptive Fault-Tolerant Control of An Unmanned Surface Vehicle under Actuator Degradation and External Disturbances
Serhii Volyanskiy1, Oleksiy Melnyk2*, Liana Dobrovolska3, and Anton Kozachuk4
1 PhD, Associate Professor, Associate Professor of the Department of Electrical Engineering of Ship and Robotic Complexes, Admiral Makarov National University of Shipbuilding, Mykolaiv, Ukraine
*2 Doctor of Technical Sciences, Professor, Head of the Department of Navigation and Maritime Safety, Odessa National Maritime University, Odesa, Ukraine
3 Assistant Professor, Department of Navigation and Maritime Safety, Odessa National Maritime University, Odessa, Ukraine
4 Odessa National Maritime University, Odessa National Maritime University, Odessa, Ukraine
Oleksiy Melnyk, Doctor of Technical Sciences, Professor, Head of the Department of Navigation and Maritime Safety, Odessa National Maritime University, Odesa, Ukraine
Received Date:March 02, 2026; Published Date:March 17, 2026
Abstract
The operation of unmanned surface vehicles (USVs) involves performing tasks in complex and dynamic operating conditions characterized
by external disturbances, wave loads, changes in hydrometeorological parameters, and possible failures or degradation of executive mechanisms.
Such factors significantly complicate the control process and require the development of robust navigation algorithms and adaptive control systems
capable of ensuring stable movement and mission accomplishment even under conditions of partial loss of functionality of individual subsystems.
Modern research is actively developing fault-tolerant control methods for various types of autonomous and technical systems. In [1], robust
adaptive control for unmanned surface vessels is proposed, taking into account failures and saturation of actuators, which ensures stable trajectory
tracking. Research [2] presents a hierarchical structure of adaptive fault-tolerant control of a group of UAVs with a collision avoidance function. In
[3], fractional-order adaptive control of a quadcopter is applied with a guarantee of controllability restoration in a fixed time.
Keywords:Unmanned surface vehicles; motor efficiency; hydrodynamic coefficients; sliding mode control
Introduction
The operation of unmanned surface vehicles (USVs) involves performing tasks in complex and dynamic operating conditions characterized by external disturbances, wave loads, changes in hydrometeorological parameters, and possible failures or degradation of executive mechanisms. Such factors significantly complicate the control process and require the development of robust navigation algorithms and adaptive control systems capable of ensuring stable movement and mission accomplishment even under conditions of partial loss of functionality of individual subsystems.
Modern research is actively developing fault-tolerant control methods for various types of autonomous and technical systems. In [1], robust adaptive control for unmanned surface vessels is proposed, taking into account failures and saturation of actuators, which ensures stable trajectory tracking. Research [2] presents a hierarchical structure of adaptive fault-tolerant control of a group of UAVs with a collision avoidance function. In [3], fractional-order adaptive control of a quadcopter is applied with a guarantee of controllability restoration in a fixed time.
For marine systems, [4] develops optimal fault-tolerant control of autonomous underwater vehicles using ELM neural networks and event-driven strategies [5] investigates fast finite-time control of USVs with multiple constraints on actuators. Work [7] is devoted to the control of USV group formation at a fixed time with intermittent failures. In [13], a robust adaptive approach based on a non-cooperative game strategy for autonomous vessels is proposed, and in [15], adaptive fuzzy fault-tolerant control of USVs with intermittent failures is proposed.
In the aviation field, [6] develops unobserved fixed-time faulttolerant control of hypersonic aircraft [9] implements sliding mode fault-tolerant control of a quadcopter with an adaptive disturbance estimator. Work [11] contains an experimental comparison of passive and active approaches to fault-tolerant control of rotorcraft. In [17], prescribed-time fault-tolerant control of amphibious unmanned aerial vehicles is proposed.
In related fields, [8] applies fuzzy adaptive methods for active suspensions with nonlinearities, [12] applies super-sliding mode for robotic manipulators, and [14] applies sliding mode control for lower limb exoskeletons. In [10], an approach based on reinforcement learning for nonlinear systems with saturation and failures is presented, and in [16], data-driven fault-tolerant control for subway trains with simultaneous sensor and actuator failures is presented. A separate area of research [18-20] is related to maritime operational safety: modeling changes in the technical condition of a vessel during the transportation of oversized cargo, assessing the impact of negative factors on its condition, and integrated management of vessel cybersecurity as a component of the maritime safety system.
A review of the literature shows that current research in the field of fault-tolerant control of autonomous marine and aerial vehicles actively uses adaptive, robust, fuzzy, sliding, and intelligent methods to compensate for actuator failures, saturation, and external disturbances, often with a guarantee of finite-time or fixed-time convergence. At the same time, most existing approaches either require accurate a priori information about the nature of degradation or do not take into account the complex influence of the gradual loss of drive efficiency together with variable marine disturbances. Thus, the task of developing an adaptive faulttolerant control system for an unmanned surface vessel capable of ensuring guaranteed stability and accurate trajectory tracking under conditions of simultaneous degradation of actuators and external disturbances remains relevant.
Under real operating conditions, the following are possible:
a) Partial loss of motor efficiency;
b) Asymmetric degradation of drives;
c) Unknown wave and wind disturbances;
d) Parametric uncertainty of hydrodynamic coefficients.
Classic control methods (PID, Sliding Mode Control) demonstrate limited robustness in the event of actuator failures. This necessitates the development of adaptive fault-tolerant algorithms capable of ensuring asymptotic stability and acceptable quality of the transition process.
The aim of this work is to develop an adaptive control algorithm for USV that compensates for actuator degradation and external disturbances with Lyapunov stability guaranteed.
Mathematical Model of the USV
To study the robustness of the control algorithm, a flat 3-degreeof- freedom (3-DOF) model of an unmanned surface vessel’s motion in a horizontal plane is considered. This model is standard in USV control tasks and takes into account longitudinal motion (surge), transverse motion (sway), and rotation around the vertical axis (yaw).
It is assumed that roll and trim are insignificant and do not affect the dynamics in the horizontal plane.
Dynamic equations

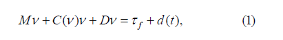
where: ν = [u,ν , r]T - velocity vector in a bound coordinate system, M ∈R3×3 - inertia matrix, C(ν ) - matrix of Coriolis and centrifugal forces, 𝐷 - hydrodynamic damping matrix, τ f - managing impact with consideration for degradation, d(t) - limited external disturbance.
Kinematic equations

Where η = [x, y,ψ]T and

It is assumed that:
a) The matrix 𝑀 is positive definite.
b) The matrix C(ν ) satisfies the property: M. − 2C(ν ) is skewsymmetric.
c) The disturbance d(t) is bounded.: || d(t) ||≤ d max
These assumptions are standard in the theory of nonlinear control of surface vehicles.
Under real operating conditions, a partial reduction in the efficiency of the actuators is possible. A multiplicative degradation model is used to describe this phenomenon: τ f = Λτ , where: Λ = diag(λ1,λ 2,λ3),0 < λi ≤1.
A value of λi <1 corresponds to a partial loss of efficiency of the corresponding actuator.
It is assumed that the matrix Λ is constant but unknown.
The goal of control is to ensure asymptotic tracking of a given
trajectory ηd(t) in the presence of:
a) an unknown degradation matrix Λ ;
b) limited disturbances d(t) .
Let us determine the errors: The control goal is formulated as: while guaranteeing boundedness of all internal closed-loop signals.
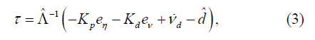
To compensate for unknown actuator degradation and external disturbances, an adaptive control law is proposed that combines a proportional-derivative structure, degradation matrix estimation, and disturbance observer.
The proposed adaptive fault-tolerant control law is defined as

whereˆΛ - estimate of the actuator degradation matrix, dˆ - disturbance estimate, Kp, Kd >0 - symmetric positive definite gain matrices.
The adaptation law for estimating actuator degradation is chosen as

where Γ > 0 - adaptation coefficient matrix.
The disturbance observer is defined as
where
α ,β > 0 .
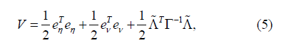
To prove stability of the closed-loop system, the direct
Lyapunov method is employed.
Consider the Lyapunov candidate function:

where
is the parameter estimation error.
Differentiating V along system trajectories and substituting
the control and adaptation laws yields:

Since Kd is positive definite, it follows that:
.
Therefore, all closed-loop signals remain bounded and the
tracking error
asymptotically converges to zero: 
Simulation Setup
Numerical validation of the proposed control strategies was carried out using a nonlinear 3-DOF USV model. System integration was performed using the fourth-order Runge--Kutta method with a fixed time step: Δt = 0.01s . The simulation duration was 20 s.
The scenario took into account a 40% multiplicative degradation of the actuator at t=5 s; harmonic disturbance d(t) = 0.5sin(0.5t) ; sinusoidal reference trajectory.
Three controllers were compared:
1. Classical PID.
2. Sliding Mode Control (SMC).
3. Proposed Adaptive Fault-Tolerant Control (AFTC).
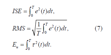
The following indicators were used for quantitative
assessment:

To evaluate the effectiveness of the proposed control strategy under actuator degradation conditions, a quantitative comparison was performed against classical PID and Sliding Mode Control (SMC) approaches. The assessment focuses on tracking accuracy, energy consumption, robustness to faults, and qualitative smoothness of the control signal. The results are summarized in Table 1.
The study results show that SMC achieves its best tracking performance through ISE and RMS measurements which demonstrate its highest accuracy potential. The system achieves its performance results through exceptional control energy requirements which lead to higher actuator load and drive down operational efficiency. The system exhibits chattering which limits its use in actual marine propulsion systems.
Table 1:Quantitative Performance Comparison.

The PID controller demonstrates moderate energy consumption but exhibits substandard robustness to actuator degradation and comparatively elevated tracking error. The Adaptive FTC method establishes an equal balance between tracking performance and energy savings while maintaining system stability and providing continuous control operations. The system operates best in autonomous maritime platforms which must navigate uncertain and degraded operational environments.
Simulation Results
Figure 1 shows the results of tracking the position of the control object under conditions of activation of the degradation of the executive mechanism at time 𝑡 = 5 s. Before the failure occurs, all the control algorithms under study demonstrate comparable control quality and similar error indicators.
After a 40% reduction in actuator efficiency, a significant difference in system behavior is observed. A classic PID controller is characterized by an increase in error amplitude and a deterioration in dynamic characteristics. The sliding mode control (SMC) algorithm maintains high tracking accuracy and demonstrates resistance to parametric changes. The adaptive fault-tolerant control (Adaptive FTC) system provides a significant reduction in deviation compared to the PID controller, which indicates its ability to partially compensate for the loss of actuator efficiency.
Figure 2 shows the system’s response in terms of speed under conditions of actuator degradation. Until the moment of efficiency reduction, all algorithms provide similar characteristics of the specified trajectory.
After degradation occurs, there is a decrease in control quality when using a PID controller, which does not provide full compensation for changes in the gain coefficient, manifested in an increase in error and deterioration of the dynamic response. In contrast, the adaptive fault-tolerant control (Adaptive FTC) system demonstrates more stable dynamics and better ability to compensate for parametric changes, while maintaining acceptable accuracy and smoothness of the transition process.
Figure 3 shows the evolution of the tracking error, which is defined as e(t) = x(t) − xd(t) , where x(t) is the actual coordinate value, and xd(t) is the desired trajectory.
Quantitative analysis shows that the use of Adaptive FTC reduces the integral error by approximately 51% compared to a classic PID controller, confirming the effectiveness of adaptive degradation compensation and increased control system stability under parametric changes. At the same time, despite the minimal error value, the SMC method generates a control signal with increased amplitude, which causes the integral energy to increase by almost 60 times compared to other approaches.
Thus, Adaptive FTC provides a rational compromise between control accuracy and energy efficiency. The results obtained show that after the degradation of the executive mechanism, the system with a PID controller demonstrates an increase in error with a pronounced cumulative effect. The SMC algorithm is characterized by greater robustness, whereas the adaptive fault-tolerant control system (Adaptive FTC) provides the most balanced dynamics and consistent quality indicators.
Discussion
The results of numerical modeling allow us to evaluate the behavior of different control strategies under conditions of partial actuator degradation.
After activating a 40% loss of efficiency at 𝑡 = 5 s, a significant increase in error is observed for the classic PID controller. This is due to the lack of a mechanism to compensate for changes in the gain coefficient of the actuator. PID is tuned to the nominal parameters of the system, and when they change, the quality of control decreases.
Sliding Mode Control demonstrates the lowest integral error value (ISE = 0.0012), which confirms its high robustness to multiplicative uncertainties. However, the results obtained show a significant increase in control energy (over 17,000), which is associated with the use of the sign function and high-frequency switching. This behavior can lead to actuator overload and accelerated equipment wear.
The proposed Adaptive Fault-Tolerant Controller provides a 51% reduction in ISE compared to PID, while maintaining energy consumption at virtually the same level. This indicates effective compensation for degradation without a sharp increase in the control signal.
Thus, the results demonstrate a compromise between tracking accuracy and energy efficiency. In the scenario under consideration, the adaptive strategy provides more balanced system behavior.
It should be emphasized that the results were obtained for a specific scenario of degradation and harmonic disturbance, which does not allow generalizations to be made for all possible operating conditions.
Limitations
Despite the positive results obtained, the study has a number of limitations.
a) The work is based solely on numerical modeling. Experimental
validation on a real USV platform was not performed.
b) The considered multiplicative degradation model is constant
after the moment of failure. In real conditions, degradation can
be stochastic or gradual.
c) External disturbance is modeled by a harmonic function with
limited amplitude. The influence of the wave spectrum or
random wind gusts was not analyzed.
d) The work does not take into account the saturation limitations
of actuators, which may affect the real dynamics of the system.
e) Sliding Mode Control is implemented in its basic form without
boundary layer or adaptive gain tuning, which affects the
amount of control energy.
f) No sensitivity analysis was performed for parametric
uncertainties of matrices M, C(v), D.
Further research should be focused on experimental verification of the algorithm, analysis of stochastic disturbances, consideration of actuator saturation and limitations, and extension to a full 6-DOF model.
Conclusion
The paper develops an adaptive fault-tolerant control algorithm for an unmanned surface vessel, taking into account partial degradation of actuators and limited external disturbances. Based on the Lyapunov method, the boundedness of all signals in a closedloop system and the asymptotic convergence of the tracking error are proved. Numerical simulation results show that the proposed Adaptive FTC reduces the integral tracking error compared to the classic PID controller while maintaining a moderate level of control energy. Compared to Sliding Mode Control, the adaptive algorithm demonstrates more balanced behavior without a significant increase in control action. The results confirm the feasibility of using adaptive strategies to compensate for multiplicative degradation of actuators in USV control tasks.
References
- Lei K, Li Z, Liu W (2026) Robust adaptive fast fixed-time prescribed performance trajectory tracking control for unmanned surface vehicles with actuator fault and saturation. Journal of the Franklin Institute 363(5): 108441.
- Meng B, Zhang K, Jiang B (2026) Hierarchical structure-based adaptive fault-tolerant control and collision avoidance for multiple fixed-wing UAVs: A fully actuated system approach. Control Engineering Practice 169: 106763.
- Zhou Z, Yu H, Liu Y (2026) Fractional-Order Adaptive Fixed-Time Fault-Tolerant Control for Quadrotor Unmanned Aerial Vehicle. Communications in Nonlinear Science and Numerical Simulation 109884.
- Cheng J, Hou Y, Wei Y (2025) ELM-neural-network-based fault-tolerant optimal control for I-AUV with actuator failures using adaptive event-triggered strategy. Ocean Engineering 341: 122631.
- Gao Z, Ma H, Gu G (2024) Fast finite-time fault-tolerant trajectory tracking control of unmanned surface vehicles with multiple actuator constraints. Ocean Engineering 310(5): 118626.
- Wang Y, Dong J, Wang M, Wu W (2025) Observer-free fixed-time fault-tolerant control for near-space hypersonic vehicles with unknown actuator faults and mismatched disturbances. Aerospace Science and Technology 165: 110447.
- Wu W, Tong S (2023) Fixed-time formation fault tolerant control for unmanned surface vehicle systems with intermittent actuator faults. Ocean Engineering 281(1): 114813.
- Lu Y, Huang T, Zhang J, Wang X, Guo X (2025) Adaptive finite-time fuzzy prescribed performance fault-tolerant control for uncertain active suspensions with actuator nonlinear characteristics. Journal of Sound and Vibration 618: 119232.
- Gao S, Zheng B, Qu H (2026) Sliding mode fault-tolerant control of quadrotor UAV based on adaptive disturbance estimator under delta operator framework. Journal of the Franklin Institute 363(2): 108380.
- Wang Q, Fu H, Chen Z, An B, Ma Z (2026) Fixed-time reinforcement learning fault-tolerant control for uncertain nonlinear systems with actuator saturation and time-varying bias faults. Engineering Applications of Artificial Intelligence 170: 114250.
- Mpanza LJ, Pedro JO (2025) Comparing passive and active fault-tolerant control of swashplate actuator faults in a medium-scale rotorcraft unmanned aerial vehicle with experimental validation. Engineering Applications of Artificial Intelligence 145(3): 110163.
- Kumari P, Ranjan S, Majhi S (2024) Adaptive Super-Twisting Sliding Mode Fault-Tolerant Control for Robot Manipulators with External Disturbances. IFAC-PapersOnLine 59(14): 122-126.
- Zhang Y, Wu D, Cheng P, Wu W, Zhang W (2024) Robust adaptive fault-tolerant control for path maneuvering of autonomous surface vehicles with actuator faults based on the noncooperative game strategy. Ocean Engineering 292: 116541.
- Sun Z, Li Z, Wu G, Zheng J, Man Z (2026) Sliding mode-based actuator fault reconstruction and fault-tolerant control of lower limb rehabilitation exoskeleton robots. Control Engineering Practice 167: 106659.
- Zhang J, Zhang W, Chen CP, Tong S (2025) Adaptive fuzzy optimal output-feedback fault-tolerant control for the USV system with intermittent actuator faults. Ocean Engineering 316(1): 119882.
- Wang R, Chi R (2026) Data-driven iterative learning fault-tolerant control for subway train speed tracking with simultaneous actuator and sensor faults. Applied Mathematical Modelling 154: 116813.
- Meng Y, Zhang Y, Ye H, Yang X, Xiang Z (2025) Prescribed-time fault-tolerant tracking control for aquatic-aerial unmanned amphibious vehicles. Aerospace Science and Technology 168: 110872.
- Onyshchenko S, Melnyk O (2020) Modelling of changes in ship’s operational condition during transportation of oversized and heavy cargo. Technology Audit and Production Reserves 6(2): 66-70.
- Onyshchenko S, Shibaev O, Melnyk O (2021) Assessment of Potential Negative Impact of the System of Factors on the Ship’s Operational Condition During Transportation of Oversized and Heavy Cargoes. Transactions on Maritime Science 10(1).
- Melnyk O, Onyshchenko S, Pavlova N, Kravchenko O, Borovyk S (2022) Integrated Ship Cybersecurity Management as a Part of Maritime Safety and Security System. International Journal of Computer Science and Network Security 22(3): 135-140.
-
Serhii Volyanskiy, Oleksiy Melnyk*, Liana Dobrovolska, and Anton Kozachuk. Adaptive Fault-Tolerant Control of An Unmanned Surface Vehicle under Actuator Degradation and External Disturbances. Ad Oceanogr & Marine Biol. 5(1): 2026. AOMB. MS.ID.000602.
-
Unmanned surface vehicles; motor efficiency; hydrodynamic coefficients; sliding mode control; iris publishers; iris publisher’s group
-

This work is licensed under a Creative Commons Attribution-NonCommercial 4.0 International License.






