Research Article
Influence of Social Media Advertising Attributes on Impulse Buying Behavior: An Empirical Analysis Across Consumer Demographics
Efe Kavas1*, Baki Kavas2
1Department of International Business, Faculty of Management, WSB University-Kraków Branch, ul. Ułanów 3, 31-450 Kraków, Poland
2Department of Business Administration, Faculty of Economics and Administrative Sciences, Hitit University, 19000 Çorum, Turkey
Efe Kavas, Department of International Business, Faculty of Management, WSB University-Kraków Branch, ul. Ułanów 3, 31-450 Kraków, Poland
Received Date: May 01, 2025; Published Date: May 05, 2025
This study examines the impact of social media advertisements on consumers’ impulsive buying behavior across four key dimensions: informativeness, entertainment, reliability, and economic contribution. The study uses both theoretical and empirical methods, using data collected from 400 participants residing in Poland. The results of the study, analyzed using SPSS software and interpreted using t-tests, ANOVA, correlation, and regression analyses, show that social media advertisements significantly affect impulsive buying decisions. The findings also highlight demographic differences in consumer responses, highlighting the need for targeted digital marketing strategies. This five-part article contributes to the literature on social media, advertising, and consumer behavior, and provides valuable insights for businesses aiming to increase consumer engagement and sentiment through sustainable advertising practices.
Keywords: Advertising; Social Media; Impulsive Buying
Introduction
In today’s world, technological advancements and the widespread use of the internet have profoundly transformed consumer habits through digital platforms. In this context, social media has emerged as a strategic marketing tool for businesses, enabling them to reach consumers, promote brands, and influence purchasing behavior regardless of time and location. Compared to traditional media, social media advertisements are more interactive and dynamic, and with their attention-grabbing nature, they tend to encourage impulse buying behavior. This study aims to examine the impact of social media advertisements on impulse buying behavior within the framework of four key dimensions: informativeness, entertainment, credibility, and contribution to the economy. The central research question explores the extent to which these dimensions influence consumers’ unplanned purchasing decisions. Employing both theoretical and empirical approaches, the study first reviews the relevant literature and then analyzes how social media advertisements trigger impulsive buying tendencies.
Data were collected from 400 participants residing in Poland through an online survey and analyzed using the SPSS software. The findings were evaluated through t-tests, ANOVA, correlation,and regression analyses. Furthermore, the study investigates how consumer attitudes toward social media advertisements vary according to demographic variables. Structured in five chapters, this research aims to contribute to the academic fields of social media, advertising, and consumer behavior. Social media refers to digital platforms that enable individuals to create content, share it, and engage in two-way communication. From the perspectives of sociology and media studies, the concept is frequently referred to as “social networks,” and over time, media effects research has increasingly focused on these platforms [1]. In addition to offering individuals the freedom to generate and distribute content, social media has become a critical marketing channel for businesses, allowing direct access to consumers [2].
Research in the field of communication began to follow a more systematic path after the 1950s. The “agenda-setting theory” developed by McCombs and Shaw (1972) [3] demonstrated how media content influences public perception. In this regard, social media is also acknowledged for its power to shape societal and economic perceptions. The technical evolution of social media extends from Web 1.0 to Web 4.0. With the advent of Web 2.0, users were no longer just consumers but also became content producers [4]. In the Web 3.0 era, content became semantically interconnected, while Web 4.0 integrated advanced technologies such as artificial intelligence, cloud computing, and virtual reality, making social networks increasingly personalized [5].
Social media applications-especially Facebook, Instagram, Twitter, YouTube, and TikTok-allow users to engage with platforms for both social and commercial purposes. The role of these platforms in advertising strategies varies; for example, Instagram stands out in visual-based advertising, whereas YouTube excels in content-supported video advertising [6]. Compared to traditional media, social media offers businesses cost-effective and highly interactive advertising opportunities. This not only enhances brand awareness but also strengthens consumer loyalty [7,4]. Particularly, strategies such as influencer marketing and native advertising rely on promoting products and services through trusted individuals [8].
The core dimensions of social media advertising include informativeness, entertainment, credibility, and economic contribution. These dimensions shape consumers’ perceptions of advertisements and significantly influence their impulse buying behavior [9,10]. Finally, when social media advertising is compared to traditional advertising, it becomes evident that social media offers a more effective channel due to its advantages such as two-way communication, personalized content delivery, realtime feedback, and measurability [11,12]. Consumer behavior is a multidisciplinary field of study that encompasses the processes through which individuals purchase, use, and evaluate products and services. Drawing from disciplines such as marketing, psychology, and sociology, this field seeks to analyze consumers’ decisionmaking mechanisms [13]. Consumer behavior extends beyond the moment of purchase; it includes the recognition of needs, information search, evaluation of alternatives, purchase decision, and post-purchase behaviors [4]. The concept of consumption refers to the utilization of products and services by individuals to meet their essential needs. Consumption patterns are shaped by psychological, social, and economic structures. In particular, an individual’s level of welfare and personal values directly influence consumption decisions [14]. Since consumption decisions impact not only individuals but also broader societal development, the notion of a “consumer society” is intrinsically linked to production processes [15].
Consumer behavior analyzes how individuals allocate their resources to meet needs and is influenced by personal, sociocultural, psychological, and environmental factors (Durmaz, as cited in Odabaşı & Barış, 2007). The mental and emotional processes individuals experience during decision-making shape their shopping experiences [16]. The process of purchasing behavior generally follows five key stages: problem recognition, information search, evaluation of alternatives, purchase decision, and post-purchase behavior [2]. During the information search stage, consumers use both internal sources (personal experiences) and external sources (peer recommendations, advertisements) [17].
In the evaluation of alternatives stage, consumers compare brands and may exhibit brand-switching behavior. At this point, brand loyalty and brand perception become influential [18]. The purchase decision is shaped by factors such as individual income level, product characteristics, price, and time pressure [4]. During the post-purchase phase, consumers may experience either satisfaction or regret, depending on their experiences. This emotional outcome can influence future purchase intentions and word-of-mouth recommendations [7].
The main factors influencing consumer behavior can be categorized into four groups:
1. Personal factors: Personality, income level, lifestyle [14].
2. Psychological factors: Motivation, learning, attitudes, perception [15].
3. Socio-cultural factors: Family, reference groups, social roles [19].
4. Environmental factors: Technological developments, social media, economic conditions [9].
In conclusion, consumer behavior constitutes the foundation of marketing strategies and is essential for firms to understand and engage their target audiences effectively. Therefore, companies must analyze consumer behavior patterns through multidimensional, data-driven approaches. Consumer behavior encompasses the process through which individuals acquire the goods and services they need and is influenced by various factors such as psychological states, environmental conditions, product price, and quality [14]. The act of purchasing typically involves two main functions: intention and environmental influence. In addition to planned purchases made based on a predetermined brand or product category, unplanned purchases that occur within the store environment also constitute a significant portion of consumer behavior [20].
Unplanned buying behavior often arises from an impulsive motivation triggered in the shopping environment. This behavior can be categorized into:
1. Completely unexpected purchases,
2. Purchases made after recalling a previously forgotten product,
3. Purchases following an interest sparked by a recommendation,
4. Purchases made by switching from a planned brand to another [14].
Purchasing behaviors can be classified into four main categories:
1. Routine purchases, which are conducted without any research based on past experience;
2. Extensive decision-making purchases, which require high involvement and are typically associated with infrequent and high-value products;
3. Limited decision-making purchases, which involve low involvement in the store environment, usually resulting in the selection of acceptable brands;
4. Unplanned purchases, which are made without prior intention [21].
Impulse buying is defined as a purchasing behavior that occurs under the influence of a sudden, powerful urge that the consumer finds difficult to resist. This unplanned behavior is often driven by psychological motives, such as the desire to enhance personal image or attract attention-particularly in the context of fashion products. These emotionally driven decisions are typically spontaneous and not based on logical reasoning [13].
Materials and Methods
This section analyses the impact of social media advertisements on consumers’ impulse buying behavior across four sub-dimensions: informativeness, entertainment, credibility, and contribution to the economy. Impulse buying behavior is also evaluated through two sub-dimensions: identification and action. The data were analyzed using SPSS 25 software, employing reliability analysis, correlation, regression, and ANOVA tests. The sub-dimensions of social media advertising showed high internal consistency, with Cronbach’s alpha values of 0.816 for informativeness, 0.925 for entertainment, 0.867 for credibility, and 0.862 for economic contribution. The entertainment dimension, in particular, plays a significant role in the emotional connection participants establish with advertisements. These findings demonstrate that advertisements are not solely informative; rather, entertaining and trustworthy content significantly influences purchasing behavior. Impulse buying behavior was examined through the identification (α = 0.817) and action (α = 0.824) dimensions, both of which revealed high reliability. This indicates a consistent understanding and display of impulse buying behavior among participants. The significance level for data analysis was set at a 95% confidence interval (p < 0.05). Demographic data, including age, gender, education level, and income, were presented using frequency and percentage distributions, with the highest response rate from participants aged 26-35 holding a bachelor’s degree. Statistically significant differences were found in the informativeness and entertainment dimensions based on age and education (p < 0.05). Independent samples t-tests and ANOVA analyses revealed significant differences across gender, age, education, and income variables. Correlation analysis showed a positive and statistically significant relationship between the informativeness and entertainment dimensions and impulse buying behavior. Moreover, simple linear regression analysis indicated that the entertainment dimension accounts for 30% of the variance in impulse buying behavior (R² = 0.30, p = 0.001). These results demonstrate that entertaining content in social media advertisements notably increases consumers’ tendency toward unplanned purchases. The majority of participants reported spending several hours daily on social media, predominantly using visually focused platforms such as Instagram, YouTube, and TikTok. The duration and purpose of social media use significantly affect advertisement exposure frequency, which in turn plays a critical role in shaping impulse buying behavior.
Table 1:The reliability analyses of the scales.

This section evaluates the demographic characteristics of the study participants in terms of gender, age, education level, income distribution, preferred social media platforms, and usage purposes. The findings provide valuable insights into how exposure to social media advertisements and impulse buying behavior correlate with demographic variables. In terms of education level, 58.25% of the participants hold a bachelor’s degree, making it the largest group within the sample. This is followed by high school graduates (20.75%), master’s degree holders (9%), associate degree holders (7.5%), and middle school graduates (2.25%). This distribution suggests that individuals with higher education levels are more likely to participate in academic research and tend to approach social media advertisements with a more critical perspective.
Regarding income level, 47% of the participants reported earning between 4001–6000 PLN per month, categorizing them as middle-income earners. Additionally, 26.25% fall into the highincome bracket with earnings above 6001 PLN, while 17.75% earn between 2001-4000 PLN, and 9% report monthly incomes of 2000 PLN or less. These figures indicate that as income levels rise, access to digital platforms becomes easier, increasing the likelihood of exposure to social media advertisements. Conversely, individuals with lower income levels may exhibit more cautious consumption patterns due to financial constraints. In terms of daily internet usage, 45.75% of participants spend 2-3 hours online, 39.25% spend 0-1 hour, and 15% spend more than 4 hours per day. On a weekly basis, the most common internet usage range is 26-30 hours (34%), followed by 16-20 hours (29.5%). These results show that most participants are moderately engaged with the internet, but this exposure may increase their sensitivity to advertisements and encourage impulse buying tendencies.
Social media usage is also notably high among participants. The majority spend more than 15 hours per week on social media platforms. The largest group (34%) reported 26–30 hours of weekly usage, followed by 29.5% who use social media for 16-20 hours per week. These numbers demonstrate that social media has become an integral part of daily life and that participants are highly integrated into the digital ecosystem. In summary, participants’ high levels of education and income position them as a consumer profile that is receptive to digital marketing strategies and highly susceptible to the influence of social media advertisements. Their moderate to high internet usage also indicates frequent exposure to advertisements, which may trigger impulse buying behavior. Based on these findings, it can be concluded that the target audience of this study represents an ideal sample for examining the influence of social media advertising on consumer purchasing behavior.
Table 2: Distribution of Participants’ Demographic Characteristics.

Results
The research findings indicate that YouTube (80.75%) and Instagram (78.75%) are the most preferred social media platforms among participants. These figures highlight the dominance of visually oriented platforms in the digital interaction landscape. YouTube is highly popular due to its wide-ranging video content, serving both entertainment and informational purposes. Its dual function as a video-sharing platform and a search engine enhances its accessibility and utility, making it a significant hub for digital engagement. Instagram, on the other hand, creates a strong appeal, particularly among younger users, through visual storytelling formats such as photos, stories, and short videos. Its algorithmdriven content stream, enriched with interactive features, makes it a highly effective tool for lifestyle marketing and influencer-based strategies.
While 61% of participants continue to use Facebook, it is observed that the platform is predominantly favoured by middleaged and older users, with younger demographics shifting toward more dynamic social networks. Despite its enduring relevance for connecting users and fostering community-based content sharing, Facebook’s influence in digital advertising appears more limited compared to next-generation platforms like Instagram. Twitter, with a 49.25% usage rate, stands out for its short-form, hashtagbased communication model, making it a powerful medium for real-time information sharing and social discourse. It plays a vital role in political participation, social movements, and following current events.
Another notable finding is that 42.75% of participants reported using “other” social media platforms. This indicates that digital interaction is extending beyond mainstream channels, with users increasingly turning to alternative platforms that cater to gaming, professional networking, or privacy-focused engagement. Such diversity underlines the importance of platform-specific strategies in social media advertising. Therefore, the active presence of participants across multiple social media platforms exposes them to a wide variety of content, including advertisements and influencer-generated materials. This multi-platform engagement significantly increases their exposure to digital advertisements and plays a critical role in shaping consumer behavior.
Table 3: Social Media Platforms Used by Participants.

Analyses of participants’ social media usage reveal the multifaceted roles these platforms play in daily life. The most common purpose, cited by 81.75% of respondents, is staying informed about current events, indicating that social media has evolved into a primary source of news. Its capacity to deliver real-time information, combined with interactive features such as comments and shares, allows users to access news in a rapid and personalized manner. Maintaining social connections also emerges as a key motivation. Approximately 79.50% of participants use social media to stay in touch with friends, while 75% use it to meet new people. These findings suggest that social media facilitates interpersonal communication by transcending physical and temporal boundaries, thereby strengthening individuals’ sense of belonging through digital communities.
Furthermore, 74% of participants reported using social media for sharing photos and videos. This figure underscores the active use of these platforms for self-expression, identity construction, and content creation. The role of visually oriented platforms such as Instagram and TikTok is particularly significant in this regard. In conclusion, social media integrates core functions such as information acquisition, social interaction, and self-expression into everyday life. This multidimensional structure illustrates how social media is transforming communication patterns at both individual and societal levels, positioning it as a critical subject for ongoing academic research.
Table 4: Social Media Usage Purpose Summary.

The analysis related to Table 5 reveals the strong influence of social media advertisements on consumer purchasing decisions. A significant portion of participants-59.5%-reported being “completely influenced” by such advertisements, while an additional 27.25% indicated being “partially influenced.” Combined, these responses amount to 86.75%, underscoring the considerable impact of social media advertising as an effective marketing tool in shaping consumer behavior. This high level of influence can largely be attributed to targeted advertising strategies. Social media platforms tailor content based on users’ demographic data, interests, and browsing habits, thereby enhancing consumer engagement. Platforms such as Facebook, Instagram, and YouTube facilitate the transition from advertisement exposure to purchase through personalized content algorithms and interactive advertisement formats, including videos, clickable links, and calls to action. Moreover, elements of social proof-such as likes, comments, and shares-further reinforce persuasive impact by enhancing consumer trust.
On the other hand, 7.75% of respondents stated that they were “not influenced at all,” and 5.5% reported being “definitely not influenced.” This resistance may stem from tendencies to filter advertisements, scepticism toward digital marketing, or a preference for research-based decision-making rather than advertisementdriven choices. Additionally, “advertisement fatigue,” resulting from constant exposure to digital ads, may explain the indifference observed in some users. Overall, these findings emphasize the critical role of social media in contemporary marketing strategies. The fact that a large majority of participants acknowledge being influenced by advertisements suggests that businesses can effectively communicate with consumers by delivering targeted, engaging, and personalized content. As digital marketing continues to evolve, the influence of social media on purchasing behavior is expected to grow even stronger.
Table 5: Does social media ads affect your purchasing decision?

This section presents the results of an independent ANOVA analysis conducted to determine the effects of social media advertisements on impulse buying behavior. Participants were divided into four groups based on their perceived level of influence by advertisements: “Completely Influenced,” “Partially Influenced,” “Not Influenced,” and “Not Influenced at All.” The analysis focused on identifying differences across the sub-dimensions of impulse buying behavior. The ANOVA results revealed statistically significant differences across all sub-dimensions (p < 0.001). In particular, participants who reported being strongly influenced by advertisements exhibited a greater tendency toward unplanned and spontaneous purchases. These individuals were especially responsive to visually striking products that create a sense of urgency. Furthermore, it was found that purchases made without considering necessity or consequences increased as a result of advertising exposure.
Another noteworthy finding concerns the role of emotional states in shopping behavior. The results showed that emotions, when triggered by advertisements, significantly enhance impulse buying tendencies (F(3, n) = 135.38, p < 0.001). Advertisements were observed to provoke strong emotional reactions in individuals, thereby facilitating immediate purchasing decisions. The analysis also demonstrated that social media advertisements weaken consumers’ ability to resist unnecessary spending (F(3, n) = 64.82, p < 0.001). Exposure to advertisements prior to shopping was found to trigger unplanned purchases even in physical store environments. This effect was particularly pronounced among consumers who associate shopping with emotional satisfaction (F(3, n) = 89.51, p < 0.001).
Thus, social media advertisements shorten the cognitive evaluation process and increase the likelihood of impulsive purchasing without prior deliberation (F(3, n) = 110.15, p < 0.001). By evoking emotional associations, digital advertisements significantly shape consumer behavior through their dynamic and real-time nature. The ANOVA analysis related to Table 7 reveals that education level is a significant variable in understanding the impact of social media advertisements on impulse buying behavior. The findings demonstrate statistically significant differences across all sub-dimensions (p < 0.0001). According to the study, participants’ shopping styles vary meaningfully based on their level of education (F = 11.24, p < 0.0001). Individuals with higher educational attainment tend to exhibit more controlled and conscious responses to social media advertisements, whereas those with lower educational levels display more impulsive behaviors, often driven by a desire for immediate gratification and susceptibility to marketing tactics.
The tendency toward “buy now, think later” was also found to be more prominent among participants with lower educational backgrounds (F = 11.06, p < 0.0001). While these individuals are less likely to critically evaluate their purchase decisions, highereducated participants tend to engage in more rational and deliberate decision-making processes. Emotion-driven purchasing behavior also showed significant variation by education level (F = 12.28, p < 0.0001). Participants with lower educational attainment were more likely to use shopping as a coping mechanism and demonstrated stronger emotional responses to advertising content. Similarly, the intensity of the desire to buy (F = 13.00, p < 0.0001) and the ability to suppress impulsive urges (F = 8.02, p < 0.0001) were found to be weaker among less educated individuals.
These findings underscore education as a critical factor influencing consumer sensitivity to social media advertisements. Consumers with lower levels of education are more vulnerable to the emotional components of advertisements, whereas those with higher education levels exhibit greater resistance through logical evaluation and self-regulation. From a marketing perspective, emotionally charged content may be more effective for less educated audiences, while value-oriented and informational content is likely to resonate better with more educated consumer groups.
Table 6: Analysis Results of Social Media Advertisement Sub-Dimensions and Impulse Buying Behavior Sub-Dimensions Based on Participants’ Age.

Table 7: Independent ANOVA Analysis Comparing Social Media Advertisement Sub-Dimension Scores and Impulse Buying Behavior Sub-Dimension Scores Based on Participants’ Education Levels.

This section presents the results of an independent ANOVA analysis conducted to determine the impact of social media advertisements on impulse buying behavior based on income levels. The findings reveal statistically significant differences across all sub-dimensions (p < 0.0001), indicating that income level is a crucial determinant in consumer decision-making processes. Shopping styles varied significantly according to income level (F = 14.66, p < 0.0001). Individuals with higher incomes tend to display more spontaneous purchasing behaviors due to their financial security, whereas those with lower incomes adopt a more cautious approach because of budgetary constraints. Similarly, the tendency to “buy now, think later” showed notable variation by income group (F = 13.90, p < 0.0001), with financially comfortable individuals being more prone to seeking immediate gratification, while lowerincome consumers engaged in more deliberate and measured decision-making.
Emotion-driven shopping behavior also differed significantly based on income level (F = 14.14, p < 0.0001). High-income participants were more likely to make purchases influenced by emotional states, whereas such behavior was more limited among low-income individuals due to financial restrictions. Additionally, the intensity of the desire to buy was found to be higher among higher-income individuals (F = 15.89, p < 0.0001), as their greater financial flexibility allowed them to act on impulsive urges more freely. In contrast, lower-income consumers experienced similar impulses but were less able to translate them into action due to economic limitations. The ability to suppress purchase urges also varied significantly with income level (F = 15.58, p < 0.0001). Higher-income individuals demonstrated lower self-control in their purchasing decisions due to greater financial flexibility, while those with lower incomes, despite experiencing strong urges, tended to behave more cautiously and with greater self-restraint.
These findings underscore the importance of developing income-specific strategies in social media advertising. For higherincome segments, marketing campaigns should emphasize luxury, exclusivity, and emotional appeal. In contrast, content targeting lower-income groups should focus on price advantages, long-term benefits, and accessibility. Aligning marketing strategies with the economic realities of consumer segments is a key factor in enhancing the effectiveness and success of social media campaigns. The ANOVA analysis based on Table 9 explores the relationship between individuals’ internet usage duration and the influence of social media advertisements on impulse buying behavior. The findings indicate that as internet usage increases, impulsive purchasing behavior also rises significantly. This suggests that individuals who spend more time online are more responsive to advertisements and more prone to spontaneous purchasing tendencies.
Table 8: Independent ANOVA Analysis Comparing Social Media Advertisement Sub-Dimension Scores and Impulse Buying Behavior Sub-Dimension Scores Based on Participants’ Income Levels.

Shopping styles varied significantly according to internet usage duration (F = 4.12, p < 0.05). Users who are frequently exposed to digital advertisements tend to make more unplanned and immediate purchasing decisions. Conversely, those with lower internet usage display more measured and deliberate shopping behaviors. The “buy now, think later” tendency also differed based on internet usage (F = 3.96, p < 0.05). Individuals who are constantly online exhibit higher levels of impulsive buying behavior, particularly influenced by limited-time offers and visually appealing advertising content.
Emotionally driven purchasing behavior was found to be more prominent among heavy internet users and reached statistical significance (F = 5.12, p < 0.01). These individuals form stronger emotional bonds with social media content and respond more easily to emotionally charged advertisements, increasing the tendency to shop as a form of emotional regulation. Similarly, the intensity of purchase desire increases in parallel with internet usage (F = 4.35, p < 0.05). Those who remain continuously online develop stronger emotional connections to the products promoted in advertisements, further reinforcing their tendency to make unplanned purchases.
Furthermore, the ability to suppress purchase impulses significantly weakens with higher internet usage (F = 5.07, p < 0.01). These users experience greater difficulty in resisting urgencyand exclusivity-themed advertisements. Consequently, internet usage duration significantly affects psychological and emotional responses to social media advertisements, thereby increasing impulsive purchasing behavior. Marketing strategies should be tailored accordingly: for heavy internet users, content should emphasize urgency, personalization, and emotional appeal; for less active users, campaigns should focus on rational justifications and value-based messaging.
Table 9: Independent ANOVA Analysis Comparing Social Media Advertisement Sub-Dimension Scores and Impulse Buying Behavior Sub-Dimension Scores Based on Participants’ Internet Usage Time.

This section presents the findings of an independent ANOVA analysis conducted to determine whether there are statistically significant relationships between participants’ weekly average time spent on social media and the sub-dimensions of impulse buying behavior influenced by social media advertisements. The results reveal significant differences across all sub-dimensions (p < 0.00001), indicating that as social media usage time increases, sensitivity to advertisements and impulsive buying tendencies also intensify. Shopping styles vary significantly depending on the frequency of social media use (F = 9.81, p < 0.00001). Individuals who use social media frequently are more likely to engage in impulsive purchasing behavior due to their continuous exposure to targeted advertisements and influencer-generated content. In contrast, less active users exhibit more controlled and planned shopping tendencies. The “buy now, think later” behavior is also more prevalent among heavy social media users (F = 9.36, p < 0.00001), a tendency often reinforced by marketing tactics such as limited-time offers and scarcity strategies that trigger instant decisions. Emotionally driven purchasing behavior is significantly more pronounced among individuals who spend extended time on social media (F = 8.81, p < 0.00001). Content that idealizes lifestyles and aesthetics contributes to a heightened emotional sensitivity to advertisements among users. The intensity of purchase desire is also positively correlated with social media usage (F = 11.02, p < 0.00001), with personalized and algorithm-driven advertisements particularly increasing shopping impulses in high-usage groups. Conversely, users with lower engagement levels tend to exhibit greater resistance to such impulses. Furthermore, the ability to suppress shopping urges declines as social media usage increases (F = 10.06, p < 0.00001). Users who are consistently exposed to persuasive content, exclusive campaigns, and influencer endorsements face greater challenges in resisting unnecessary purchases. In conclusion, increased time spent on social media heightens individuals’ susceptibility to emotional and psychological triggers, thereby strengthening impulsive buying behavior. From a marketing standpoint, strategies targeting heavy social media users should prioritize urgency, personalization, and emotional appeal, while messaging aimed at lower-frequency users should emphasize rational reasoning and long-term benefits.
Table 10: Independent ANOVA Analysis Comparing Social Media Advertisement Sub-Dimension Scores and Impulse Buying Behavior Sub-Dimension Scores Based on Participants’ Weekly Average Time Spent on Social Media.

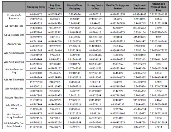
The Pearson correlation analysis presented in Table 11 examines the relationships between various sub-dimensions of social media advertisements and impulse buying behavior. The findings reveal that the informative and entertaining aspects of advertisements exert a particularly strong influence on consumers’ tendencies toward unplanned purchases. In the analysis of informative advertisements, a strong positive correlation was identified between consumers’ shopping styles and such advertisements (r = 0.89). The provision of detailed product information reduces the need for additional research, thereby encouraging spontaneous purchasing decisions. There is also a high correlation with the “buy now, think later” tendency (r = 0.81); content rich in information creates a sense of urgency, intensifying impulsive buying behavior. Additionally, informative advertisements show strong correlations with emotion-driven purchasing (r = 0.87), the intensity of the desire to buy (r = 0.90), and the difficulty of suppressing shopping impulses (r = 0.82), indicating that these advertisements activate not only cognitive but also emotional decision-making processes. Advertisements containing up-to-date product information accelerate purchasing decisions, as consumers often perceive such content as exclusive or trend-aligned. These effects are further supported by strong correlations with emotion-based shopping (r = 0.88), impulsive purchasing behavior (r = 0.82), and lack of resistance to shopping urges (r = 0.87). Correlations related to entertaining advertisements are also noteworthy. The relationship with the intensity of the desire to purchase is particularly strong (r = 0.92), suggesting that visually appealing and engaging content significantly enhances consumers’ motivation for unplanned purchases. Entertaining advertisements also exhibit meaningful correlations with emotional shopping behavior (r = 0.83), the “buy now, think later” tendency (r = 0.85), and unplanned purchases (r = 0.86). Similar effects are observed among consumers who perceive advertisements as their primary source of product information. For this group, strong correlations between shopping style (r = 0.87), purchase desire (r = 0.89), and impulsive buying behavior (r = 0.84) indicate that detailed advertising content enhances consumer confidence and increases the likelihood of immediate purchasing decisions. Overall, the analysis results demonstrate that social media advertisements containing informative and entertaining elements effectively activate emotional responses and significantly increase impulsive buying behavior. Accordingly, marketing strategies built around these components are likely to enhance consumer engagement and boost purchase rates. Table 11 presents the results of the simple linear regression analysis conducted to determine the effect of social media advertisements on impulse buying behavior.
Table 11: Pearson Correlation Analysis of the Relationship Between Social Media Advertisement Sub-Dimensions and Impulse Buying Behavior.

Discussion
This study investigates the impact of social media advertisements on consumers’ impulse buying behavior by focusing on four key dimensions: informativeness, entertainment, credibility, and economic contribution. The findings demonstrate that these elements play a significant role in shaping consumer decision-making processes. Social media, with its ability to overcome geographical barriers, has evolved into a critical channel for global business communication and consumer engagement. For businesses operating in international markets, aligning digital marketing strategies with consumer behavior is essential to maximize advertising effectiveness.
Informative advertisements, especially those pertaining to new product introductions and complex service offerings, have been shown to build consumer trust and promote impulsive purchasing. By reducing consumers’ cognitive effort in decision-making, such ads expedite brand adoption. Entertaining advertisements, on the other hand, provoke emotional responses and encourage spontaneous purchases, particularly when tailored to culturally relevant themes. This cultural alignment is vital for effectively reaching diverse market segments and achieving advertising success across regions. Furthermore, increased social media engagement intensifies consumers’ exposure to promotional content, enhancing their impulsive purchasing tendencies. This underscores the importance for marketers to design strategies that reflect consumers’ digital behaviors and platform usage. For example, in developing economies characterized by high mobilebased engagement, mobile-optimized and locally contextualized ads are imperative.
The study also highlights the impact of demographic variablesnamely age, education, and income-on advertising perception and consumption behavior. Younger consumers gravitate toward visually dynamic and trend-driven content, while older consumers prioritize informative and credible advertising. Higher education levels correspond to greater scrutiny concerning ethical and informational aspects of ads, whereas individuals with higher incomes show stronger preferences for luxury and exclusivity. Customizing advertising content to reflect these demographic distinctions enhances message resonance and campaign success. Beyond individual consumer behavior, social media advertisements contribute to wider economic activity by influencing consumption patterns and facilitating the global dissemination of products. These findings reinforce the strategic relevance of social media advertising in driving both market expansion and economic development.
Conclusions
The results of this research confirm the influential role of social media advertisements in promoting impulse buying behavior. Effective digital marketing campaigns require synchronizing advertisement timing with social media activity, curating personalized content based on behavioral data, and employing platform-specific tactics. The strategic use of influencer partnerships and analytics tools further strengthens campaign precision and consumer interaction. Additionally, loyalty programs and exclusive digital promotions cultivate long-term customer relationships, thereby enhancing brand loyalty and retention. Due to their cost-efficiency and scalability, social media advertisements offer considerable advantages over traditional media, enabling businesses of all sizes to reach broad audiences across geographic and socioeconomic divides.
In conclusion, social media advertising represents a potent mechanism for influencing consumer behavior and reinforcing global market competitiveness. Advertising strategies that integrate informativeness, entertainment, and credibility can effectively trigger impulsive purchases while fostering sustained consumer engagement. Aligning digital marketing approaches with consumer psychology, cultural variation, and technological innovation is essential for securing long-term success and sustainability in the international business landscape.
Acknowledgement
None.
Conflict of Interest
No conflict of interest.
References
- Mutlu E (1992) Mass Communication Theories and Press Education in Turkey. Ankara Üniversitesi Yıllığı.
- Kotler P, Armstrong G (2012) Principles of Marketing. Pearson.
- McCombs ME, Shaw DL (1972) The Agenda-Setting Function of Mass Media. Public Opinion Quarterly 36(2): 176-187.
- Koç E (2022) Consumer Behavior and Marketing Strategies - Global and Local Approach. Seçkin Akademik Yayıncılık.
- Yüksel O (2020) All Aspects of Digital Marketing and social media. Medya Akademi.
- Gökşin E (2018) Fundamentals of Digital Marketing. Abakus Yayınları.
- Kotler P (2017) Marketing 4.0. İstanbul: Optimist Yayın Grubu.
- Mert YL (2018) Influencer Marketing Practices in Digital Marketing Axis. Gümüşhane University Journal of Communication Faculty 6(2): 1299-1328.
- Yaprak İ (2020) The Effect of Consumers' Attitudes Towards Social Media Advertisements on Impulsive Purchase Behavior. (Doctoral thesis). Nevşehir Hacı Bektaş Veli Üniversitesi.
- Keskin S, Baş M (2015) Determining the Effect of Social Media on Consumer Behaviors. Gazi Üniversitesi İİBF Dergisi 17(3): 51-69.
- Atar GM, İspir NB (2019) Comparison of Attitudes and Advertising Value towards Traditional and Social Media Advertising. Akdeniz University Faculty of Communication Journal.
- Erdoğan H, Özcan BM (2020) The Effect of Influencer Marketing on Consumer Purchase Intention. Journal of Business Research 12(4): 38133827.
- Odabaşı Y, Barış G (2007) Tüketici Davranışı (7. Baskı). MediaCat Yayıncılık.
- Öztürk BE (2015) Tüketici Davranışları. Ekin Yayınevi.
- Odabaşı Y, Barış G (2005) Tüketici Davranışı. Kapital Medya.
- Pride WM, Ferrel OC (2000) Marketing Concepts and Strategies. Houghton Mifflin Company.
- Özbek V, Koç F (2009) Kırsal ve Kentsel Alanlarda Tüketici Karşılaştırması. Balıkesir Üniversitesi Sosyal Bilimler Enstitüsü Dergisi.
- Odabaşı Y, Barış G (2003) Postmodern Pazarlama. Mediacat Kitapları.
- Örücü E, Tavşancı S (2001) Gıda Ürünlerinde Tüketici Eğilimi. Muğla Üniversitesi SBE Dergisi.
- Durmaz Y (2008) Consumer Behavior. Ankara: Detay Yayıncılık.
- Koç E (2008) Tüketici Davranışı ve Pazarlama Stratejileri. Seçkin Yayıncılık.
-
Efe Kavas*, Baki Kavas. Influence of Social Media Advertising Attributes on Impulse Buying Behavior: An Empirical Analysis Across Consumer Demographics. Aca J Spo Sci & Med. 2(5): 2025. AJSSM.MS.ID.000548.
-
Empirical Analysis, Demographics, Impulsive Buying, Social Media, Advertising, Buying Tendencies
-

This work is licensed under a Creative Commons Attribution-NonCommercial 4.0 International License.






